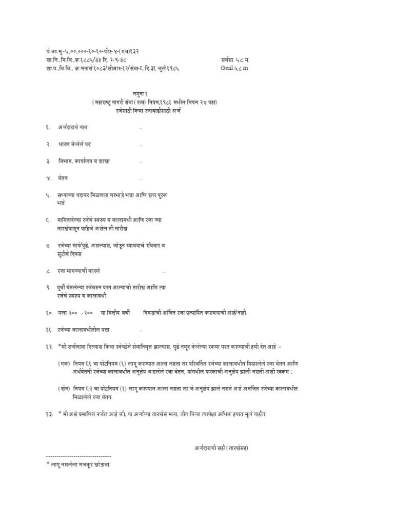
Earned Leave Form Kerala Pdf - Form 7 (see rule 112 of part i, ksr) leave account of. Application for leave or for extension of leave employee code no. House rent and other compensatory allowance drawn in present post :
House rent and other compensatory allowance drawn in present post : Form 7 (see rule 112 of part i, ksr) leave account of. Application for leave or for extension of leave employee code no.
Application for leave or for extension of leave employee code no. House rent and other compensatory allowance drawn in present post : Form 7 (see rule 112 of part i, ksr) leave account of.
Form For Earned Leave PDF Government Justice
Application for leave or for extension of leave employee code no. Form 7 (see rule 112 of part i, ksr) leave account of. House rent and other compensatory allowance drawn in present post :
Earned Leave PDF
House rent and other compensatory allowance drawn in present post : Form 7 (see rule 112 of part i, ksr) leave account of. Application for leave or for extension of leave employee code no.
Earned Leave Form PDF
Application for leave or for extension of leave employee code no. House rent and other compensatory allowance drawn in present post : Form 7 (see rule 112 of part i, ksr) leave account of.
Fillable Online Earned leave form kerala government Fax
Form 7 (see rule 112 of part i, ksr) leave account of. Application for leave or for extension of leave employee code no. House rent and other compensatory allowance drawn in present post :
Form 13 Fill Out, Sign Online and Download Printable PDF, Kerala
Application for leave or for extension of leave employee code no. House rent and other compensatory allowance drawn in present post : Form 7 (see rule 112 of part i, ksr) leave account of.
Earned Leave Form PDF
Application for leave or for extension of leave employee code no. Form 7 (see rule 112 of part i, ksr) leave account of. House rent and other compensatory allowance drawn in present post :
Earned Leave Form PDF Government Justice
Form 7 (see rule 112 of part i, ksr) leave account of. Application for leave or for extension of leave employee code no. House rent and other compensatory allowance drawn in present post :
APPLICATION FOR EARNED LEAVE OR Doc Template pdfFiller
House rent and other compensatory allowance drawn in present post : Form 7 (see rule 112 of part i, ksr) leave account of. Application for leave or for extension of leave employee code no.
Earned Leave Form PDF
Application for leave or for extension of leave employee code no. Form 7 (see rule 112 of part i, ksr) leave account of. House rent and other compensatory allowance drawn in present post :
Form 7 (See Rule 112 Of Part I, Ksr) Leave Account Of.
Application for leave or for extension of leave employee code no. House rent and other compensatory allowance drawn in present post :


