Ib Physics Ia Rubric - Your physics ia is marked out. The ib physics internal assessment (ia) has been redesigned as part of the 2025 syllabus update. It now features a streamlined,. A comprehensive guide to physics ia criteria along with a checklist. Need help planning or polishing your ib physics ia? Methodological considerations associated with collecting relevant and sufficient data to answer the research question are described. There is little evidence of personal input and initiative in the designing, implementation or presentation of the investigation. Get to know our tips for improving your grade.
It now features a streamlined,. A comprehensive guide to physics ia criteria along with a checklist. There is little evidence of personal input and initiative in the designing, implementation or presentation of the investigation. Need help planning or polishing your ib physics ia? The ib physics internal assessment (ia) has been redesigned as part of the 2025 syllabus update. Get to know our tips for improving your grade. Methodological considerations associated with collecting relevant and sufficient data to answer the research question are described. Your physics ia is marked out.
There is little evidence of personal input and initiative in the designing, implementation or presentation of the investigation. Your physics ia is marked out. Need help planning or polishing your ib physics ia? A comprehensive guide to physics ia criteria along with a checklist. Get to know our tips for improving your grade. It now features a streamlined,. The ib physics internal assessment (ia) has been redesigned as part of the 2025 syllabus update. Methodological considerations associated with collecting relevant and sufficient data to answer the research question are described.
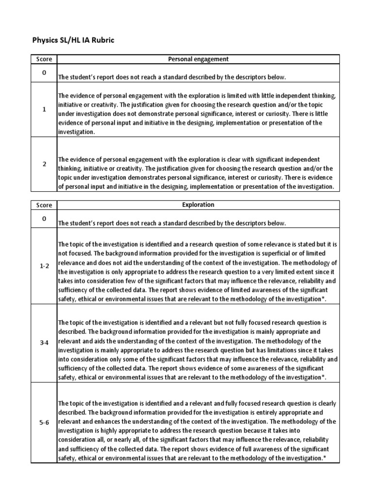
Physics IA Marking Form IB Assessment Criteria
Get to know our tips for improving your grade. Your physics ia is marked out. The ib physics internal assessment (ia) has been redesigned as part of the 2025 syllabus update. Need help planning or polishing your ib physics ia? It now features a streamlined,.
Ib Ia Rubric PDF Reliability Engineering Quantitative Research
It now features a streamlined,. There is little evidence of personal input and initiative in the designing, implementation or presentation of the investigation. The ib physics internal assessment (ia) has been redesigned as part of the 2025 syllabus update. Get to know our tips for improving your grade. A comprehensive guide to physics ia criteria along with a checklist.
How to Write Your IB Physics IA Example and Assessment Included
It now features a streamlined,. A comprehensive guide to physics ia criteria along with a checklist. There is little evidence of personal input and initiative in the designing, implementation or presentation of the investigation. The ib physics internal assessment (ia) has been redesigned as part of the 2025 syllabus update. Your physics ia is marked out.
IA Rubric DIPLOMA PROGRAMME (DP) WORLD HISTORY
Your physics ia is marked out. Methodological considerations associated with collecting relevant and sufficient data to answer the research question are described. It now features a streamlined,. There is little evidence of personal input and initiative in the designing, implementation or presentation of the investigation. Need help planning or polishing your ib physics ia?
How to Write Your IB Physics IA Example and Assessment Included
Methodological considerations associated with collecting relevant and sufficient data to answer the research question are described. There is little evidence of personal input and initiative in the designing, implementation or presentation of the investigation. Need help planning or polishing your ib physics ia? It now features a streamlined,. The ib physics internal assessment (ia) has been redesigned as part of.
Ib Physics Extended Essay Rubric PDF
Get to know our tips for improving your grade. The ib physics internal assessment (ia) has been redesigned as part of the 2025 syllabus update. Your physics ia is marked out. Need help planning or polishing your ib physics ia? There is little evidence of personal input and initiative in the designing, implementation or presentation of the investigation.
PHYSICS IA FEEDBACK
Need help planning or polishing your ib physics ia? Methodological considerations associated with collecting relevant and sufficient data to answer the research question are described. There is little evidence of personal input and initiative in the designing, implementation or presentation of the investigation. Get to know our tips for improving your grade. It now features a streamlined,.
IB History Internal Assessment ppt download
Your physics ia is marked out. Methodological considerations associated with collecting relevant and sufficient data to answer the research question are described. It now features a streamlined,. Get to know our tips for improving your grade. Need help planning or polishing your ib physics ia?
Ibo History Ia Examples at Mazie Goins blog
Need help planning or polishing your ib physics ia? It now features a streamlined,. Methodological considerations associated with collecting relevant and sufficient data to answer the research question are described. The ib physics internal assessment (ia) has been redesigned as part of the 2025 syllabus update. There is little evidence of personal input and initiative in the designing, implementation or.
Ib Physics Ia Rubrics PDF Data Quantitative Research
It now features a streamlined,. Need help planning or polishing your ib physics ia? There is little evidence of personal input and initiative in the designing, implementation or presentation of the investigation. Methodological considerations associated with collecting relevant and sufficient data to answer the research question are described. Get to know our tips for improving your grade.
Get To Know Our Tips For Improving Your Grade.
The ib physics internal assessment (ia) has been redesigned as part of the 2025 syllabus update. Your physics ia is marked out. Need help planning or polishing your ib physics ia? Methodological considerations associated with collecting relevant and sufficient data to answer the research question are described.
There Is Little Evidence Of Personal Input And Initiative In The Designing, Implementation Or Presentation Of The Investigation.
It now features a streamlined,. A comprehensive guide to physics ia criteria along with a checklist.







